TABELA PERIÓDICA DOS ELEMENTOS
-

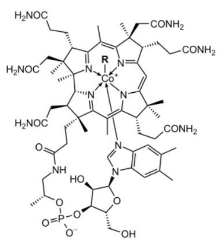
A vitamina B12 é um micronutriente essencial hidrossolúvel, sendo o cobalto o metal central da coenzima conhecida como cobalamina, necessária à ação dessa vitamina. A estrutura da cianocobalamina (R = -CN) está apresentada na figura abaixo.
-

-
Considere as seguintes afirmações sobre a cianocobalamina.
-
I - A geometria molecular do complexo é octaédrica distorcida.
II - O ideal para solubilizar a cobalamina são solventes orgânicos apolares, pois a macromolécula é apolar.
III - A valência (nox) do cobalto na estrutura representada é +3.
-
Quais estão corretas?