Magna Concursos
1227342 Ano: 2017
Disciplina: Matemática
Banca: IF-BA
Orgão: IF-BA

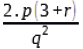
Sendo o valor de “p” o triplo do valor de “r” e q o dobro do valor de r; sendo a soma do valor de “p” com o valor de “q” o mesmo valor correspondente a 20% do valor 75; sendo M=enunciado 1227342-1 , então podemos afirmar que o valor de M é?

 

Provas

Questão presente nas seguintes provas