Observe o gráfico de atividades de um determinado projeto.

O tempo de cada atividade está relacionado na tabela a seguir:
Atividade | Tempo (dias) | Atividade | Tempo (dias) |
A | 1 | E | 1 |
B | 1 | F | 2 |
C | 3 | G | 1 |
D | 1 | - | - |
Qual o caminho crítico do projeto?
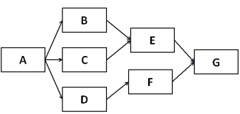
Observe o gráfico de atividades de um determinado projeto.

O tempo de cada atividade está relacionado na tabela a seguir:
Atividade | Tempo (dias) | Atividade | Tempo (dias) |
A | 1 | E | 1 |
B | 1 | F | 2 |
C | 3 | G | 1 |
D | 1 | - | - |
Qual o caminho crítico do projeto?