A avaliação de padrões em gráficos de controle é muito importante na análise do controle estatístico da qualidade. Um gráfico de controle pode indicar uma condição fora de controle quando um ou mais pontos se localizam além dos limites de controle, ou quando os pontos marcados exibem algum padrão de comportamento não aleatório. O Statistical Quality Control Handbook (Manual do Controle Estatístico da Qualidade) (1956) da Western Electric sugere um conjunto de regras de decisão para a detecção de padrões não aleatórios em gráficos de controle (MONTGOMERY, 2016, p. 139).
(MONTGOMERY, Douglas C. Introdução ao Controle Estatístico da Qualidade, 7º edição. Grupo GEN, 2016, p. 139)
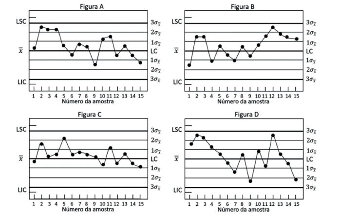
Montgomery (2016) apresenta 10 regras que complementam as regras da Western Electric. Considerando estas regras analise o gráfico de controle de X (x barra) a seguir e considere as afirmações:

|- Todas as figuras apresentam processo considerado como fora de controle.
Il- A figura A apresenta processo dentro de controle, pois, apesar de apresentar dois ou três pontos consecutivos fora dos limites de alerta dois sigmas, estes ainda estão dentro do limite superior de controle.
IIl - A figura B apresenta processo fora de controle, pois apresenta quatro ou cinco pontos consecutivos além dos limites de um sigma.
IV - Segundo estas regras, a figura C apresenta processo dentro de controle.
V- A figura D apresenta processo considerado fora de controle, pois apresenta seis ou mais pontos em uma sequência decrescente.
Somente está CORRETO o que se afirma em: