Assinale a alternativa CORRETA.
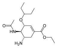
No fármaco fosfato de oseltamivir, a formação das funções amida e éster, representadas na estrutura dada, poderia ocorrer a partir da reação entre o grupamento amina e o grupamento carboxílico, respectivamente, com:
