Magna Concursos
58292 Ano: 2009
Disciplina: TI - Desenvolvimento de Sistemas
Banca: CESGRANRIO
Orgão: DECEA

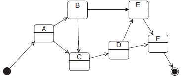
Observe o diagrama de estado UML a seguir.

Enunciado 58292-1

Para chegar ao estado final, deve-se passar necessariamente pelo estado

 

Provas

Questão presente nas seguintes provas

Técnico Controle de Tráfego Aéreo - TI

50 Questões