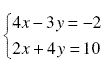
O conjunto solução do sistema é:
S{(1, 1)}
S{(2, 1)}
S{(2, 2)}
S{(1, 2)}
Olá, para continuar, precisamos criar uma conta! É rápido e grátis.