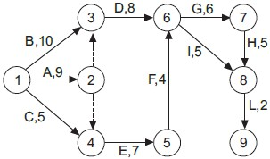
A rede CPM (Critical Path Method), apresentada na figura a seguir, ilustra, hipoteticamente, o planejamento das atividades de projeto de um navio.

Sabendo-se que o tempo de duração das atividades é dado em semanas, a duração do caminho crítico será igual a