Magna Concursos
489901 Ano: 2005
Disciplina: Matemática
Banca: AOCP
Orgão: MGS

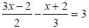
Resolva a equação: Enunciado 489901-1

 

Provas

Questão presente nas seguintes provas

Auxiliar de Serviços Gerais

40 Questões