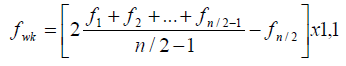
O valor característico da resistência à compressão paralela às fibras de um lote de peças de madeira deve ser estimado pela expressão

em que os resultados devem ser colocados em ordem crescente f1 < f2 < ...< fn, desprezando-se o valor mais alto se o número de corpos de prova for ímpar, não se tomando para fwk valor inferior a f1, nem a 0,70 do valor médio.
Uma estrutura de madeira foi projetada para a classe C40. Considerando que as amostras coletadas para determinação simplificada da resistência característica à compressão paralela às fibras apresentaram os valores (em MPa) de 36,0 - 56,0 - 52,0 - 49,0 - 57,0 - 53,0 - 54,0 - 55,0, é CORRETO afirmar: