TEXTO 2
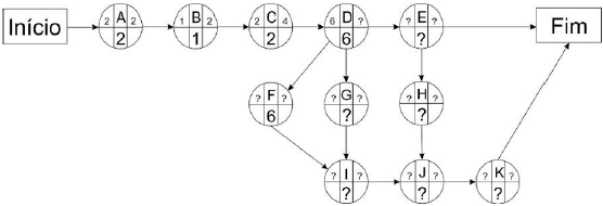
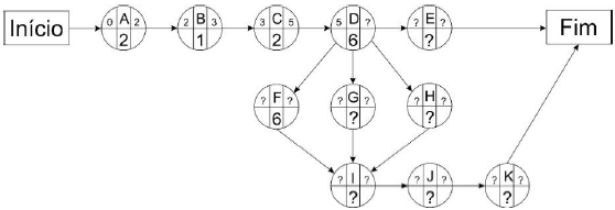
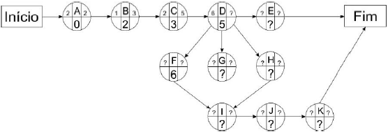
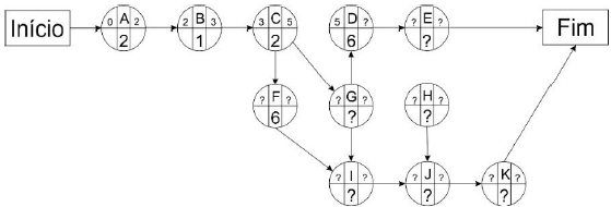
O setor de Engenharia da aeronáutica está providenciando a licitação de reforma em uma das suas instalações. Para cumprimento do prazo, a equipe de fiscalização está elaborando o planejamento através do Critical Path Method (CPM) e do Program Evaluation and Review Technique (PERT), e para isto vai verificar os caminhos críticos de forma a evitar atrasos durante a obra.
TABELA 2
| Atividade | Descrição | Atividades precedentes | Duração da atividade (semanas) |
| A | Demolição | - | 2 |
| B | Fundação | A | 1 |
| C | Estrutura | B | 2 |
| D | Paredes | C | 6 |
| E | Telhado | D | 4 |
| F | Acabamento interno | D | 6 |
| G | Instalação hidráulica | D | 8 |
| H | Instalação elétrica | D | 7 |
| I | Pisos | F, G, H | 4 |
| J | Divisórias | I | 5 |
| K | Pintura | J | 10 |
Fonte: Banca examinadora (2022).

De acordo com a Tabela 2 e as convenções gráficas, e com base nas atividades a serem executadas e seus precedentes, bem como no tempo estimado em semanas, o gráfico que melhor representa esta rede PERT é