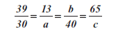
Assinale a soma de a, b e c na proporção dada abaixo:

Provas
Questão presente nas seguintes provas
Agente - Saúde Pública
40 Questões
Agente - Saúde Pública I
40 Questões
Almoxarife
40 Questões
Fiscal Ambiental
40 Questões
Fiscal de Obras
40 Questões
Fiscal de Transportes
40 Questões
Fiscal Sanitário
40 Questões
Programador
40 Questões
Técnico de Higiene Dental
40 Questões
Técnico em Estradas
40 Questões
Técnico em Mecânica
40 Questões