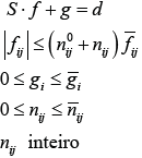
Considere a modelagem básica do problema da expansão do sistema de transmissão de energia elétrica, utilizando o modelo de transportes:
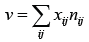
Minimizar: ![]()
Satisfazendo: 
Relacione a segunda coluna de acordo com a primeira
COLUNA l COLUNA ll

A sequência correta é