Magna Concursos
2274489 Ano: 2013
Disciplina: TI - Desenvolvimento de Sistemas
Banca: UFSCAR
Orgão: UFSCAR
Provas:

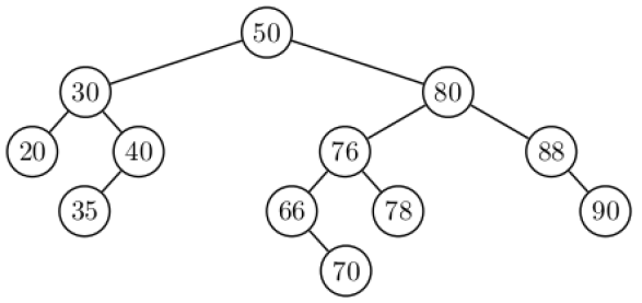
Considerando a árvore da seguinte figura, assinale a alternativa correta:

Enunciado 2945366-1

 

Provas

Questão presente nas seguintes provas

Analista de TI

60 Questões