
Internet: https://nortecquimica.com.br/ifa
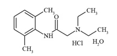
A figura precedente apresenta a estrutura molecular do cloridrato de lidocaína monoidratado. Esta substância

Internet: https://nortecquimica.com.br/ifa
A figura precedente apresenta a estrutura molecular do cloridrato de lidocaína monoidratado. Esta substância