Magna Concursos
1851625 Ano: 2008
Disciplina: Matemática
Banca: CESPE / CEBRASPE
Orgão: SGA-AC
Provas:

Julgue os itens seguintes, relacionados a operações com números reais.

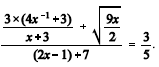
Se x = 2, entãoEnunciado 3376776-1

 

Provas

Questão presente nas seguintes provas

Motorista

120 Questões