Magna Concursos
1237929 Ano: 2019
Disciplina: Engenharia Química
Banca: Consulplan
Orgão: CRQ-3
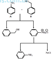
Considere o fluxograma.
Enunciado 1237929-1
Analise as afirmativas a seguir.
I. Os compostos A e B são, respectivamente, a anilina e o álcool benzílico.
II. Os compostos A e B são líquidos pouco solúveis em água.
III. A anilina apresenta caráter básico e reage com solução aquosa de HCl, produzindo um sal de amônio quaternário.
IV. A adição de NaOH à fase orgânica contendo o cloreto de anilínio regenera a amina que pode ser extraída com éter dietílico.
Estão corretas as afirmativas
 

Provas

Questão presente nas seguintes provas