
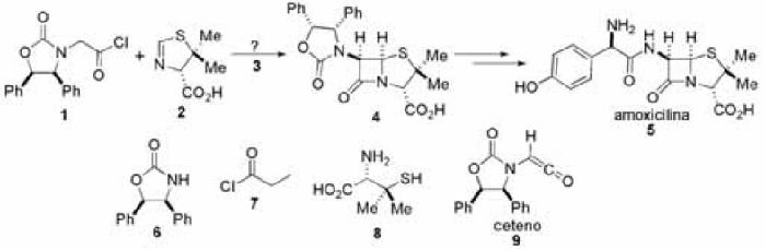
A amoxicilina é um antibiótico amplamente utilizado pela população que apresenta em sua estrutura um anel lactâmico. Considerando a figura acima, que ilustra a síntese da amoxicilina, assinale a opção correta.
Provas
Questão presente nas seguintes provas
Pesquisador do Inmetro - Síntese de Fármacos
100 Questões