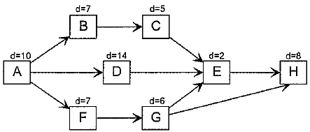
Um Tenente, gerente de projeto do sistema beta_mb, montou o seguinte diagrama, o qual expõem a duração de atividades. Se o Tenente substituir a duração da atividade B para 12 dias e a duração da atividade G para 9 dias, qual dos seguintes caminhos seria o caminho critico do projeto beta_mb? (Observação d=duração da atividade).

Provas
Questão presente nas seguintes provas