TABELA PERIÓDICA

Notas: Os valores de massas atômicas estão apresentados com três algarismos significativos. Não foram atribuídos valores às massas atômicas de elementos artificiais ou que tenham abundância pouco significativa na natureza. Informações adaptadas da tabela IUPAC 2016.
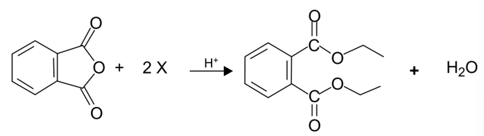
O composto orgânico de fórmula molecular C12H14O4 é produzido industrialmente a partir da reação representada na equação a seguir.

!$ 2\quad X \quad \overset{H^+}{\overrightarrow{calor}}\quad Y+H_2O !$
O composto Y resultante dessa reação é um