- Química InorgânicaSoluções e Substâncias InorgânicasSubstâncias Inorgânicas: dissociação iônica e ionização, conceitos de ácido-base
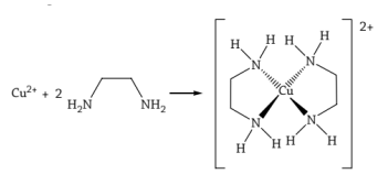
Em alguns complexos de classificação
estrutural dos ligantes, um determinado
ligante ocupa mais do que uma das posições
de coordenação, isto é, mais de um átomo de
um mesmo ligante. No exemplo abaixo o íon
cobre (II) está circundado por quatro grupos
-
NH
2
, assim cada molécula de etilenodiamina
que está ligada ao íon cobre (II) em dois
pontos, podemos chamar de:
Fonte: https://www2.ufjf.br/quimicaead/wp - content/uploads/sites/224/2013/09/QI_Aula4
Fonte: https://www2.ufjf.br/quimicaead/wp - content/uploads/sites/224/2013/09/QI_Aula4