
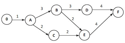
O diagrama PERT acima indica a sequência lógica de eventos para se realizar a manutenção de uma máquina. O tempo esperado, em horas, para a conclusão de cada atividade está indicado acima da linha que a representa. Com base nestas informações, considere as afirmativas a seguir.
I - Os eventos B e E fazem parte do caminho crítico.
II - O evento E tem uma folga de 1 hora.
III - Se a conclusão do evento C ocorrer 2 horas após o previsto, o processo como um todo sofrerá um atraso de 2 horas.
Está(ão) correta(s) a(s) afirmativa(s)
Provas
Questão presente nas seguintes provas