Considere o sistema linear abaixo, tal que α e ℝ.

O único valor tal que torna o sistema possível e determinado pertence ao intervalo:
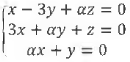
Considere o sistema linear abaixo, tal que α e ℝ.

O único valor tal que torna o sistema possível e determinado pertence ao intervalo: