Magna Concursos
Questões
Planos
Entrar
Entrar
Criar Conta
Respondida
110632
Ano:
2018
Disciplina:
Matemática
Banca:
IBADE
Orgão:
Pref. Presidente Kennedy-ES
Provas:
Professor - Matemática
Provas
×
Álgebra
Álgebra Linear
Matrizes
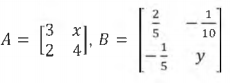
Assinale a alternativa que apresenta os valores de x e y, respectivamente, para que as matrizes A e B sejam inversas.
A
-1 e -3/10
B
3/10 e 2
C
2 e 3
D
1 e 2
E
1 e 3/10
Resolver
Comentários
0
×
Cadernos
×
Flashcards
×
Estatísticas
×
Reportar um erro
×
Provas
Questão presente nas seguintes provas
Publicar
Responder
Qual o problema da questão?
Selecione uma opção
Questão Desatualizada
Questão Repetida
Gabarito Errado
Outros Motivos
Mensagem
Enviar
Acessar
Criar Conta
Acesse sua Conta
Google
Facebook
Esqueci minha senha
Acessar
Ainda não tem conta?
Crie uma
!
Crie uma Conta
Criar Conta
Olá, para continuar, precisamos criar uma conta!
É
rápido
e
grátis
.
Google
Facebook
Concordo com os
Termos de Uso
Criar
Já tem uma conta?
Acesse aqui