Maria e José estão discutindo a lista de exercícios de integrais duplas e triplas quando se deparam com o problema de calcular o volume do sólido S obtido a partir da intersecção das superfícies 2x+4 y+z = 8 , z = 0 , y = 0 e x = 0 .
José afirma que é possível resolver o problema através do cálculo da integral dupla definida
( 8-2 x-4 y) dydx .
Maria afirma que é possível resolver o problema através do cálculo da integral dupla definida
(8 - 2x-4 y ) dxdy .
Em relação às soluções propostas por Maria e José, analise as afirmações a seguir e assinale a alternativa CORRETA.
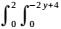
José afirma que é possível resolver o problema através do cálculo da integral dupla definida
( 8-2 x-4 y) dydx .Maria afirma que é possível resolver o problema através do cálculo da integral dupla definida
(8 - 2x-4 y ) dxdy .Em relação às soluções propostas por Maria e José, analise as afirmações a seguir e assinale a alternativa CORRETA.