Magna Concursos
845803 Ano: 2009
Disciplina: Matemática Financeira
Banca: FUNIVERSA
Orgão: SEPLAG-DF
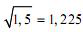
Um capital de R$ 12.000,00 é aplicado a juros compostos, durante 2 anos, produzindo um montante igual à R$ 18.000,00. Considerando que enunciado 845803-1 e enunciado 845803-2 , qual a taxa mensal de juros?
 

Provas

Questão presente nas seguintes provas

Analista de Planejamento e Orçamento

80 Questões