Magna Concursos
3048126 Ano: 2006
Disciplina: Engenharia Eletrônica
Banca: CESPE / CEBRASPE
Orgão: MPE-TO

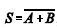
Acerca das operações lógicas, julgue os itens que seguem, em que as letras S, A, B e C representam variáveis booleanas, ou seja, podem assumir apenas os valores 0 (zero) ou 1 (um).

Se Enunciado 3518298-1 , então Enunciado 3518298-2
 

Provas

Questão presente nas seguintes provas

Técnico Ministerial - Eletrônica

120 Questões