Para realizar a análise da concentração de cálcio e
magnésio em uma amostra de solo, pesam-se 5,0000
gramas de terra fina seca ao ar (TFSA) e adicionam-se
50,0 ml de solução extratora de cloreto de potássio 1,00
mol.l-1, assim como na análise de acidez devido ao
alumínio. Após agitar e deixar um dia de repouso, retira-se o sobrenadante e filtra-se, realizando posteriormente
uma diluição 1:12 neste para a análise de cálcio e 1:36
para a análise de magnésio, utilizando como solvente
uma solução de 34,2 mmol.l-1 de cloreto de estrôncio
(SrCl2) e 200 mmol.l-1 de ácido clorídrico (HCl), que terá
a finalidade de reduzir efeitos de interferência de outros
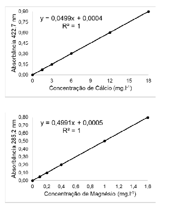
íons. A análise das amostras é realizada por
espectrometria de absorção atômica, onde as
curvas-padrão do equipamento constam nos gráficos a
seguir. Para uma dada amostra de solo, obtiveram-se as
leituras de absorbância de 0,350 para o Cálcio e de
0,650 para o Magnésio. A concentração desses dois
elementos químicos no solo é igual a

