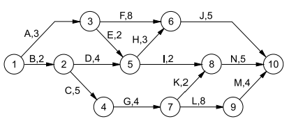
A construção de uma edificação foi planejada conforme o cronograma PERT-CPM da figura a seguir, no qual as atividades estão representadas por letras, seguidas de seu tempo de execução, em semanas.

Conforme o cronograma, o tempo previsto, em semanas, para a entrega da obra é de