Magna Concursos
Questões
Planos
Entrar
Entrar
Criar Conta
Respondida
1348621
Ano:
2010
Disciplina:
TI - Banco de Dados
Banca:
VUNESP
Orgão:
CREA-SP
Provas:
Analista de TI - Desenvolvimento
Provas
×
Banco de Dados Relacional
Normalização
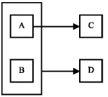
Considere o seguinte diagrama de dependências funcionais, originado da tabela T de um Banco de Dados Relacional.
Supondo que não haja atributos multivalorados, o maior grau de normalização em que se encontra a tabela T é a
A
Primeira Forma Normal.
B
Segunda Forma Normal.
C
Terceira Forma Normal.
D
Quarta Forma Normal.
E
Forma Normal de Boyce-Codd.
Resolver
Comentários
0
×
Cadernos
×
Flashcards
×
Estatísticas
×
Reportar um erro
×
Provas
Questão presente nas seguintes provas
Analista de TI - Desenvolvimento
50 Questões
Resolver Prova
Publicar
Responder
Qual o problema da questão?
Selecione uma opção
Questão Desatualizada
Questão Repetida
Gabarito Errado
Outros Motivos
Mensagem
Enviar
Acessar
Criar Conta
Acesse sua Conta
Google
Facebook
Esqueci minha senha
Acessar
Ainda não tem conta?
Crie uma
!
Crie uma Conta
Criar Conta
Olá, para continuar, precisamos criar uma conta!
É
rápido
e
grátis
.
Google
Facebook
Concordo com os
Termos de Uso
Criar
Já tem uma conta?
Acesse aqui