Magna Concursos
1227341 Ano: 2017
Disciplina: Matemática
Banca: IF-BA
Orgão: IF-BA

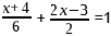
Sendo x a solução da equação enunciado 1227341-1, então o valor correspondente ao valor de E, na equação E=49x, é?

 

Provas

Questão presente nas seguintes provas