
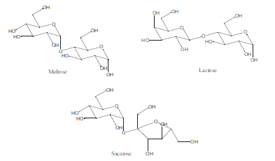
Sobre os dissacarídeos representados acima, é correto afirmar que:
Provas
Questão presente nas seguintes provas
Perito Criminal - Engenharia Química
60 Questões
Perito Criminal - Química
60 Questões

Sobre os dissacarídeos representados acima, é correto afirmar que: