Magna Concursos
2954756 Ano: 2023
Disciplina: Engenharia Eletrônica
Banca: CESPE / CEBRASPE
Orgão: TBG
Provas:

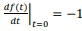
Com base nas transformadas de Laplace, julgue o próximo item.

Se F(s) = L(f(t)) é a transformada de Laplace de uma função derivável f(t) que satisfaz Enunciado 3278068-1, então a transformada de Laplace de Enunciado 3278068-2 é igual a 2 ∙ F(s) − 2.

 

Provas

Questão presente nas seguintes provas

Engenheiro Eletricista

100 Questões