Magna Concursos
125110 Ano: 2010
Disciplina: TI - Desenvolvimento de Sistemas
Banca: CESPE / CEBRASPE
Orgão: INMETRO
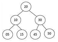
Na primeira fase do método de ordenação usando uma árvore binária (heapsort), deve ser montada uma heap a partir do vetor com os dados que se deseja ordenar, conforme os mostrados na tabela a seguir.

Enunciado 125110-1

Considerando essas informações, assinale a opção que apresenta a heap max (toda a árvore ordenada como uma heap) formada ao final dessa fase, antes da classificação propriamente dita.
 

Provas

Questão presente nas seguintes provas

Pesquisador - Desenvolvimento de Sistemas

70 Questões