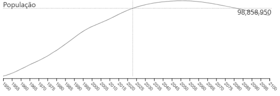
Observe a imagem a seguir sobre o efetivo populacional:
Figura 9


Disponível em:<https://www.populationpyramid.net/pt/vietname/2023/#google_vignette>. Acesso em: 05 set. 2024.
Analise as afirmativas a seguir:
I. Trata-se de um país de população jovem, o que é demonstrado no alargamento da base e no estreitamento do topo na pirâmide, no ano do levantamento.
II. Tem um significativo crescimento populacional até, pelo menos, a década de 2020, mas que pode estagnar e diminuir nas próximas décadas, devido à redução dos índices de fecundidade.
III. Possui um maior número de população feminina no corpo e no ápice da pirâmide, o que evidencia uma expectativa de vida maior do que a masculina.
IV. Demonstra um número maior de crianças e jovens do sexo masculino, o que é explicado por questões sociais, culturais e religiosas presentes no referido país.
Estão corretas apenas as afirmativas