Com relação à hidrodinâmica, julgue os itens que se seguem.
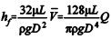
Em uma tubulação de comprimento L e diâmetro D na qual o escoamento é laminar, a perda de carga hf devido à viscosidade do fluido pode ser calculada pela equação de Hagen-Poiseuille.

em que
é a velocidade média do fluido, μ é a viscosidade absoluta, ρ é a massa específica, g é a aceleração da gravidade e Q é a vazão
Em uma tubulação de comprimento L e diâmetro D na qual o escoamento é laminar, a perda de carga hf devido à viscosidade do fluido pode ser calculada pela equação de Hagen-Poiseuille.
em que
Provas
Questão presente nas seguintes provas
Analista Ministerial - Engenharia Mecânica
120 Questões