NAS QUESTÕES NUMERADAS DE 11 A 25, ASSINALE A ÚNICA ALTERNATIVA QUE RESPONDE CORRETAMENTE AO ENUNCIADO.
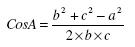
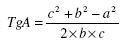
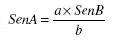
Num triângulo são dados três lados (a,b,c) e não se conhece nenhum dos ângulos (A, B, C) . O ângulo A será determinado pela seguinte expressão trigonométrica:
