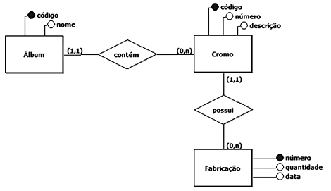
Uma empresa que comercializa álbuns de figurinhas (cromos) possui um banco de dados para controlar a fabricação de cromos. O modelo conceitual desse banco de dados é exibido na Figura a seguir.

O modelo conceitual acima deu origem às seguintes Tabelas:

O gerente de produção dessa empresa deseja obter um relatório que exiba, para cada álbum comercializado, o nome do álbum, o número de cada um de seus cromos e o somatório da quantidade fabricada de cada um deles.
Qual consulta irá fornecer o relatório que o gerente de produção deseja?
Provas
Questão presente nas seguintes provas
Analista de Sistemas - Processos de Negócios
70 Questões