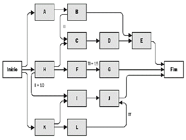
Os projetos existem e operam em ambientes que podem ter influência sobre eles. Essas influências podem ter um impacto favorável ou desfavorável sobre o projeto. Duas importantes categorias de influências são os Fatores Ambientais da Empresa (FAEs) e os Ativos de Processos Organizacionais (APOs). Os FAEs se originam do ambiente externo do projeto e, muitas vezes, externo à empresa. Eles podem ter um impacto de nível de organização, portfólio, programa ou projeto, enquanto os APOs são internos à organização. Podem surgir da organização em si, de um portfólio, programa, outro projeto, ou uma combinação deles. Considere os processos do Guia do Conhecimento em Gerenciamento de Projetos (Guia PMBOK®) e os diagramas apresentados.
I.

II.

III.

IV.

É correto afirmar que: