Unindo experiência e credibilidade
O financiamento imobiliário da Associação de Poupança e Empréstimos (POUPEX) é o resultado da parceria entre o Banco do Brasil S.A. (BB) e a POUPEX, uma empresa com 25 anos de mercado e que já financiou milhares de imóveis em todo o país. Com a nova linha, o cliente tem acesso a condições especiais para financiar em até 180 meses (15 anos) a sua casa, nova ou usada, ou construir o seu imóvel. Considere a tabela de modalidades residenciais a seguir.

Com referência ao texto acima, julgue o seguinte item.
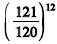
Considere que, para o financiamento, em 1 ano, do valor máximo financiável de um imóvel de valor igual a R$ 100 mil, a capitalização seja mensal e o regime, o de juros compostos. Nesse caso, tomando-se 1,105 como valor aproximado para O financiamento imobiliário da Associação de Poupança e Empréstimos (POUPEX) é o resultado da parceria entre o Banco do Brasil S.A. (BB) e a POUPEX, uma empresa com 25 anos de mercado e que já financiou milhares de imóveis em todo o país. Com a nova linha, o cliente tem acesso a condições especiais para financiar em até 180 meses (15 anos) a sua casa, nova ou usada, ou construir o seu imóvel. Considere a tabela de modalidades residenciais a seguir.

Com referência ao texto acima, julgue o seguinte item.
, conclui-se que o valor efetivamente pago pelo empréstimo seria superior a R$ 88.300,00.