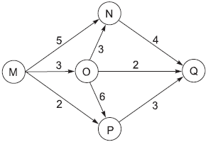
A figura abaixo apresenta a rede de um projeto com a duração das atividades em dias.

Com base no Método do Caminho Crítico (CPM), tomando-se como base o evento M ocorrendo no momento zero, quais são, respectivamente, o caminho crítico e a sua duração?
Provas
Questão presente nas seguintes provas