1928520
Ano: 2019
Disciplina: TI - Redes de Computadores
Banca: FUNCERN
Orgão: Pref. Parnamirim-RN
Disciplina: TI - Redes de Computadores
Banca: FUNCERN
Orgão: Pref. Parnamirim-RN
Provas:
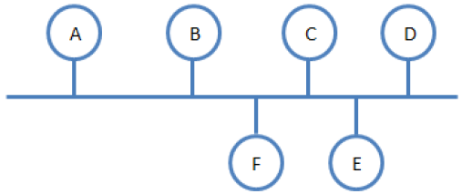
Ao analisar uma rede de computadores, foi verificado que os hosts A, B, C, D, E, e F, estão conectados como mostra a figura a seguir:

Logo, o tipo de topologia utilizada na rede é:
Provas
Questão presente nas seguintes provas