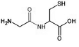
Amidas são compostos que têm a estrutura genérica:

em que R1 e R2 representam cadeias carbônicas. Esses compostos podem ser preparados pela reação entre um ácido carboxílico e uma amina, tal como ilustrado na equação a seguir, a qual representa uma reação entre os aminoácidos glicina e cisteína que produz o composto A.

Acerca desse assunto e considerando que MH = 1 g/mol; MC = 12 g/mol; MN = 14 g/mol; MO = 16 g/mol; MS = 32 g/mol, assinale a opção correta.