
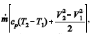
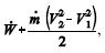
A figura acima ilustra um compressor que admite ar a velocidade, temperatura e pressão V 1 , T 1 e P 1 e o rejeita a velocidade, temperatura e pressão V 2 , T 2 e P 2 , respectivamente. Admitindo que o ar seja um gás ideal, assinale a opção correta com relação aos princípios de conservação da massa, do momento e da energia para um escoamento.