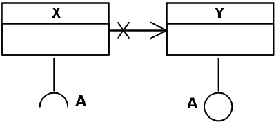
Considere uma aplicação hipotética composta exclusivamente por duas classes, X e Y, e por uma interface, A, conforme modelado no diagrama abaixo.

Identifique se são verdadeiras (V) ou falsas (F) as afirmativas abaixo com relação à aplicação acima modelada.
( ) A classe X necessariamente implementa os métodos declarados na interface A.
( ) A classe Y necessariamente implementa os métodos declarados na interface A.
( ) Instância da classe X invoca métodos declarados na interface A.
( ) Instância da classe Y invoca métodos declarados na interface A.
( ) Instância da classe X invoca métodos de instância da classe Y.
( ) Instância da classe Y invoca métodos de instância da classe X.
( ) É possível que instâncias das duas classes invoquem métodos declarados na interface A.
Assinale a alternativa que apresenta a sequência CORRETA, de cima para baixo.