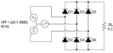
Considere o retificador trifásico em ponte de onda completa, não controlado, mostrado na figura a seguir.

A fonte de alimentação trifásica tem tensão de linha de 220 V (RMS) em 60 Hz. Nessa condição, a corrente eficaz através da carga resistiva RL de 5Ω é aproximadamente igual a: