81637
Ano: 2004
Disciplina: Legislação Específica das Agências Reguladoras
Banca: CESGRANRIO
Orgão: ANP
Disciplina: Legislação Específica das Agências Reguladoras
Banca: CESGRANRIO
Orgão: ANP
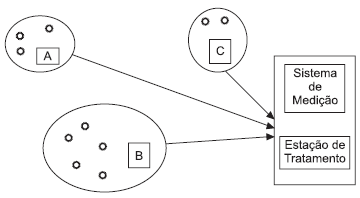
Na qualidade de técnico da ANP você foi encarregado de emitir parecer sobre a proposição de um concessionário com respeito a uma instalação de medição de petróleo e gás natural para três campos de produção. O esquema da instalação, resumidamente, é o seguinte:

Observações:
I - O Sistema de Medição está de acordo com o Regulamento Técnico de Medição de Petróleo e Gás.
II - A Estação de Tratamento consegue exportar óleo com menos de 1% de água e sedimentos.
III - As produções dos campos não suportam economicamente a instalação de Sistemas de Medição individuais.
Após exame das condições, você deverá recomendar a:
Provas
Questão presente nas seguintes provas