Considere o sistema apresentado abaixo. Suponha a=1 e b=2.

Determine a função de transferência do sistema. Este sistema é assintoticamente estável, marginalmente estável ou instável?
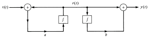
Considere o sistema apresentado abaixo. Suponha a=1 e b=2.

Determine a função de transferência do sistema. Este sistema é assintoticamente estável, marginalmente estável ou instável?