
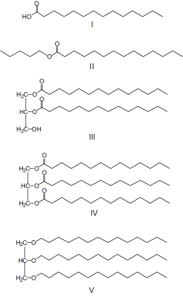
Além da sua utilização na indústria alimentícia, os óleos vegetais são de suma importância para a indústria, pois são matérias-primas para a produção de ácidos graxos, glicerina, lubrificantes, carburantes, biodiesel, entre outros. Considerando-se que os óleos vegetais são constituídos apenas por triglicerídeos ou triacilgliceróis, qual das substâncias acima representa um óleo vegetal?