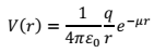
Imagine que o potencial de Coulomb da interação radial entre cargas fosse substituído pelo potencial de Yukawa dado por

O módulo da força de interação (FY) sobre a mesma carga Q nesse potencial, escrita em função do módulo da força Coulombiana FC de interação entre cargas, é dada por